Официальное опубликование правовых актов
ОФИЦИАЛЬНОЕ ОПУБЛИКОВАНИЕ
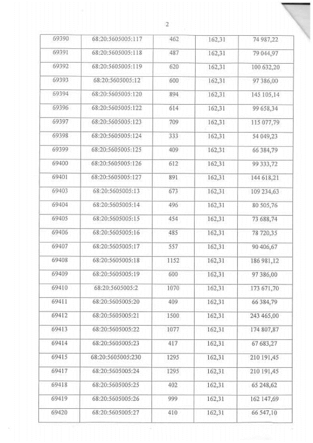
Приказ Комитета по управлению имуществом Тамбовской области от 21.09.2021 № 664
"О внесении изменений в приложение №1 к приказу комитета по управлению имуществом области от 14.09.2020 № 532 "Об утверждении результатов определения кадастровой стоимости земельных участков в составе земель сельскохозяйственного назначения, расположенных на территории Тамбовской области"
Номер опубликования: 6801202109220004
Дата опубликования: 22.09.2021
Страница №3 из 6:
Увеличить