Официальное опубликование правовых актов
ОФИЦИАЛЬНОЕ ОПУБЛИКОВАНИЕ
Приказ Комитета по управлению имуществом Тамбовской области от 21.07.2021 № 535
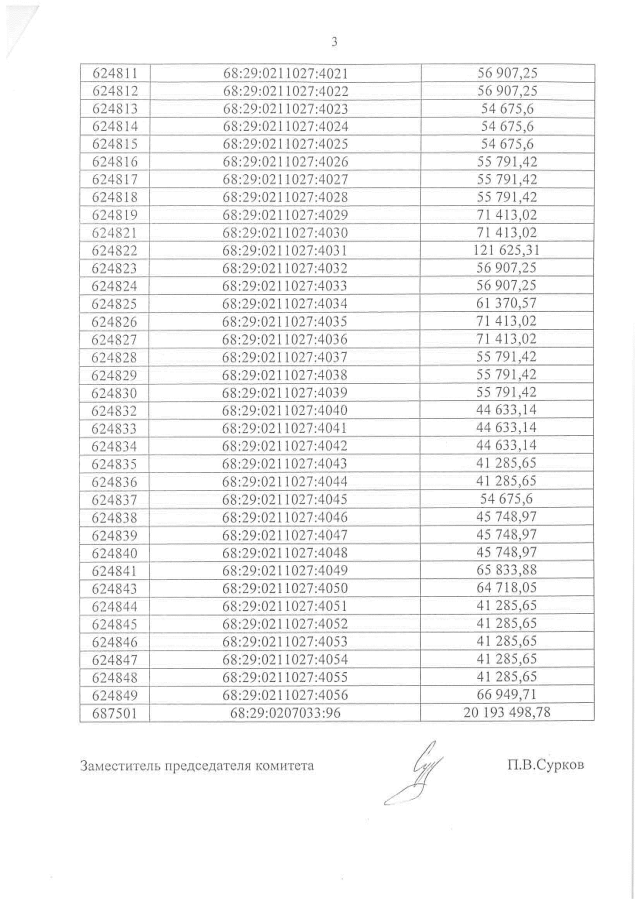
"О внесении изменений в приложение к приказу комитета по управлению имуществом области от 17.11.2020 № 667 "Об утверждении результатов определения кадастровой стоимости объектов недвижимости (за исключением земельных участков), расположенных на территории Тамбовской области"
Номер опубликования: 6801202107220001
Дата опубликования: 22.07.2021
Страница №5 из 5:
Увеличить