Официальное опубликование правовых актов
ОФИЦИАЛЬНОЕ ОПУБЛИКОВАНИЕ
Приказ Управления по государственной охране объектов культурного наследия Тамбовской области от 18.03.2021 № 37
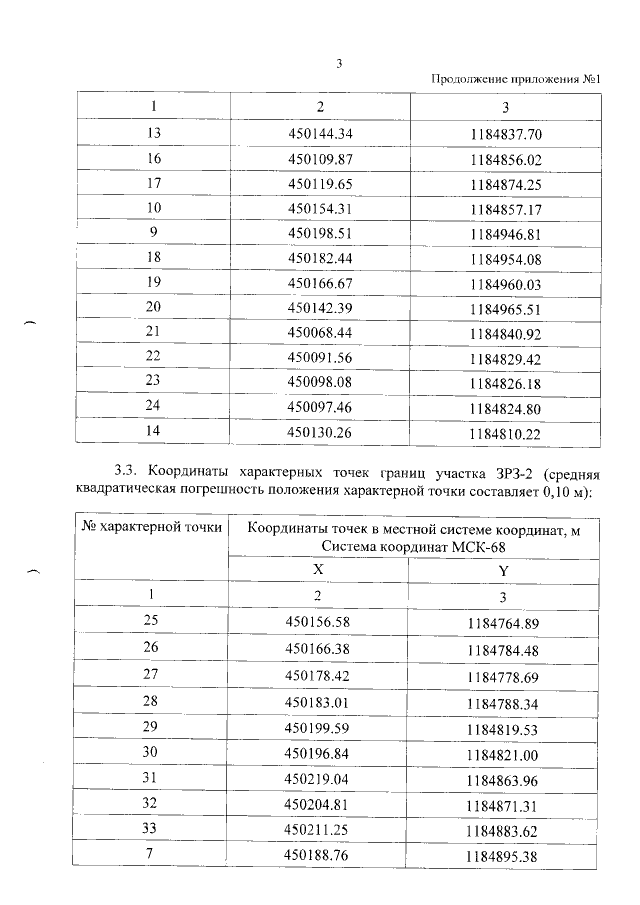
"Об установлении зон охраны объекта культурного наследия местного (муниципального) значения "Дом Криволуцкого" (Тамбовская область, г.Мичуринск, ул. Революционная, д.55) и утверждении требований к градостроительным регламентам в границах территорий данных зон"
Номер опубликования: 6801202103190010
Дата опубликования: 19.03.2021
Страница №5 из 12:
Увеличить