Официальное опубликование правовых актов
ОФИЦИАЛЬНОЕ ОПУБЛИКОВАНИЕ
Приказ Управления по государственной охране объектов культурного наследия Тамбовской области от 20.10.2020 № 347
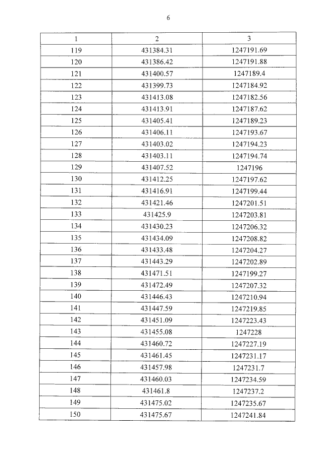
"Об утверждении графического описания местоположения границ защитной зоны объекта культурного наследия регионального значения "Дом жилой" (Тамбовская область, г.Тамбов, ул.Студенецкая‚ д.44) с перечнем координат характерных точек этих границ в системе координат, установленной для ведения Единого государственного реестра недвижимости, и режима использования земель в границах данной защитной зоны"
Номер опубликования: 6801202010200003
Дата опубликования: 20.10.2020
Страница №8 из 9:
Увеличить