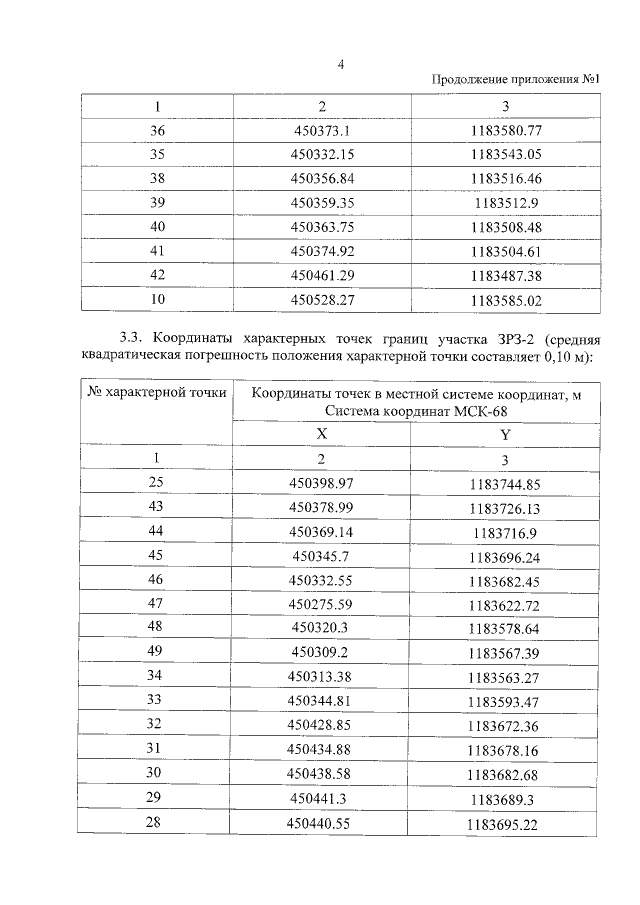
Приказ Управления по государственной охране объектов культурного наследия Тамбовской области от 20.10.2020 № 348
"Об установлении зон охраны объекта культурного наследия регионального значения "Красные казармы" (Тамбовская область, г.Мичуринск, ул.Красная‚ д.74) и утверждении требований к градостроительным регламентам в границах территорий данных зон"
"Об установлении зон охраны объекта культурного наследия регионального значения "Красные казармы" (Тамбовская область, г.Мичуринск, ул.Красная‚ д.74) и утверждении требований к градостроительным регламентам в границах территорий данных зон"
Номер опубликования: 6801202010200001
Дата опубликования:
20.10.2020
