Официальное опубликование правовых актов
ОФИЦИАЛЬНОЕ ОПУБЛИКОВАНИЕ
Приказ Управления по государственной охране объектов культурного наследия Тамбовской области от 18.06.2020 № 227
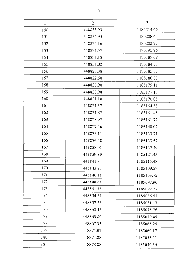
"Об утверждении графического описания местоположения границ защитной зоны объекта культурного наследия регионального значения "Усадьба городская" (Тамбовская область, г. Мичуринск, ул.Тамбовская, д.212, д.220) с перечнем координат характерных точек этих границ в системе координат, установленной для ведения Единого государственного реестра недвижимости, и режима использования земель в границах данной защитной зоны"
Номер опубликования: 6801202006190006
Дата опубликования: 19.06.2020
Страница №9 из 11:
Увеличить