Приказ Управления по государственной охране объектов культурного наследия Тамбовской области от 23.01.2020 № 29
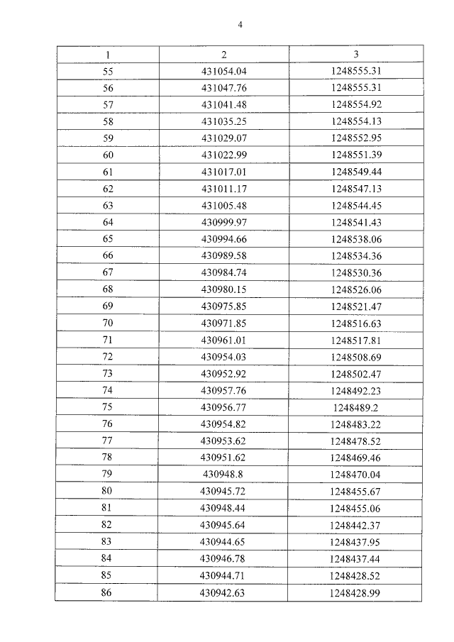
"Об утверждении графического описания местоположения границ защитной зоны объекта культурного наследия регионального значения "Здание Александринского института благородных девиц. Флигель" (Тамбовская область, г.Тамбов‚ ул.Советская‚ д.93) с перечнем координат характерных точек этих границ в системе координат, установленной для ведения Единого государственного реестра недвижимости, и режима использования земель в границах данной защитной зоны"
"Об утверждении графического описания местоположения границ защитной зоны объекта культурного наследия регионального значения "Здание Александринского института благородных девиц. Флигель" (Тамбовская область, г.Тамбов‚ ул.Советская‚ д.93) с перечнем координат характерных точек этих границ в системе координат, установленной для ведения Единого государственного реестра недвижимости, и режима использования земель в границах данной защитной зоны"
Номер опубликования: 6801202001270010
Дата опубликования:
27.01.2020
