Официальное опубликование правовых актов
ОФИЦИАЛЬНОЕ ОПУБЛИКОВАНИЕ
Приказ Управления по государственной охране объектов культурного наследия Тамбовской области от 23.01.2020 № 27
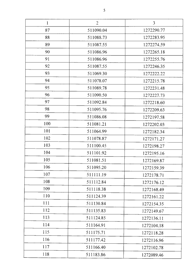
"Об утверждении графического описания местоположения границ защитной зоны объекта культурного наследия регионального значения "Двухэтажное здание" (Тамбовская область, г. Моршанск, ул. Лотикова‚ д.68) с перечнем координат характерных точек этих границ в системе координат, установленной для ведения Единого государственного реестра недвижимости, и режима использования земель в границах данной защитной зоны"
Номер опубликования: 6801202001270002
Дата опубликования: 27.01.2020
Страница №7 из 9:
Увеличить