Официальное опубликование правовых актов
ОФИЦИАЛЬНОЕ ОПУБЛИКОВАНИЕ
Приказ Управления по охране окружающей среды и природопользованию Тамбовской области от 13.01.2020 № 07
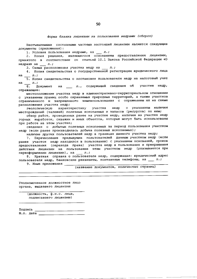
"О внесении изменений в административный регламент предоставления государственной услуги "Оформление, государственная регистрация, выдача, внесение изменений и дополнений, переоформление, выдача дубликата лицензий на пользование участками недр местного значения для геологического изучения в целях поисков и оценки подземных вод, для добычи подземных вод или для геологического изучения в целях поисков и оценки подземных вод и их добычи, используемых для питьевого и хозяйственно-бытового водоснабжения или технологического обеспечения водой объектов промышленности либо объектов сельскохозяйственного назначения на территории Тамбовской области, а также принятие решений о прекращении или досрочном прекращении права пользования участками недр местного значения на территории Тамбовской области"
Номер опубликования: 6801202001200001
Дата опубликования: 20.01.2020
Страница №52 из 54:
Увеличить