Приказ Управления по государственной охране объектов культурного наследия Тамбовской области от 02.12.2019 № 329
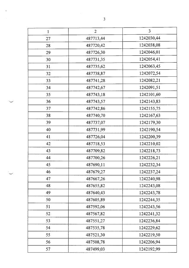
"Об утверждении графического описания местоположения границ защитной зоны объекта культурного наследия регионального значения "Крестовоздвиженский храм" (Тамбовская область, Сосновский район, р.п. Сосновка‚ ул.Вокзальная, д.2) с перечнем координат характерных точек этих границ в системе координат, установленной для ведения Единого государственного реестра недвижимости, и режима использования земель в границах данной защитной зоны"
"Об утверждении графического описания местоположения границ защитной зоны объекта культурного наследия регионального значения "Крестовоздвиженский храм" (Тамбовская область, Сосновский район, р.п. Сосновка‚ ул.Вокзальная, д.2) с перечнем координат характерных точек этих границ в системе координат, установленной для ведения Единого государственного реестра недвижимости, и режима использования земель в границах данной защитной зоны"
Номер опубликования: 6801201912050004
Дата опубликования:
05.12.2019
