Официальное опубликование правовых актов
ОФИЦИАЛЬНОЕ ОПУБЛИКОВАНИЕ
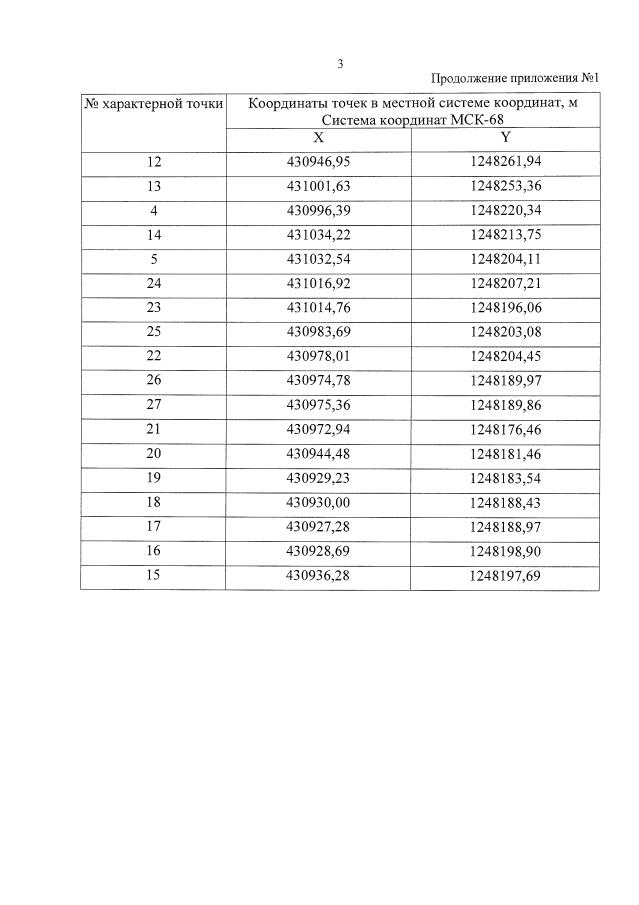
Приказ Управления по государственной охране объектов культурного наследия Тамбовской области от 02.12.2019 № 327
"Об установлении зон охраны объекта культурного наследия регионального значения "Здание общегородского назначения - публичная библиотека, музыкальные классы, историко-этнографический музей" (Тамбовская область, г.Тамбов, ул.Советская‚ д.114) и утверждении требований к градостроительным регламентам в границах территорий данных зон"
Номер опубликования: 6801201912020004
Дата опубликования: 02.12.2019
Страница №5 из 11:
Увеличить