Официальное опубликование правовых актов
ОФИЦИАЛЬНОЕ ОПУБЛИКОВАНИЕ
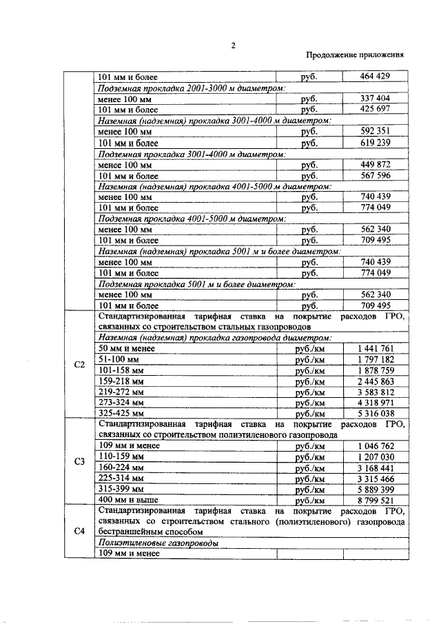
Приказ Управления по регулированию тарифов Тамбовской области от 12.11.2019 № 103-п
"Об установлении размера платы за технологическое присоединение газоиспользующего оборудования к газораспределительным сетям Тамбовского областного государственного унитарного предприятия "Водное и газовое хозяйство" и размеров стандартизированных тарифных ставок, определяющих ее величину, на 2020 год"
Номер опубликования: 6801201911140007
Дата опубликования: 14.11.2019
Страница №5 из 6:
Увеличить