Официальное опубликование правовых актов
ОФИЦИАЛЬНОЕ ОПУБЛИКОВАНИЕ
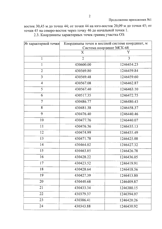
Приказ Управления по государственной охране объектов культурного наследия Тамбовской области от 17.10.2019 № 260
"Об установлении зон охраны объекта культурного наследия регионального значения "Ансамбль железнодорожной станции Тамбов" (Тамбовская область, г.Тамбов, пл.Привокзальная‚ д.1) и утверждении требований к градостроительным регламентам в границах территорий данных зон"
Номер опубликования: 6801201910180002
Дата опубликования: 18.10.2019
Страница №4 из 12:
Увеличить