Официальное опубликование правовых актов
ОФИЦИАЛЬНОЕ ОПУБЛИКОВАНИЕ
Приказ Управления по государственной охране объектов культурного наследия Тамбовской области от 20.09.2019 № 198
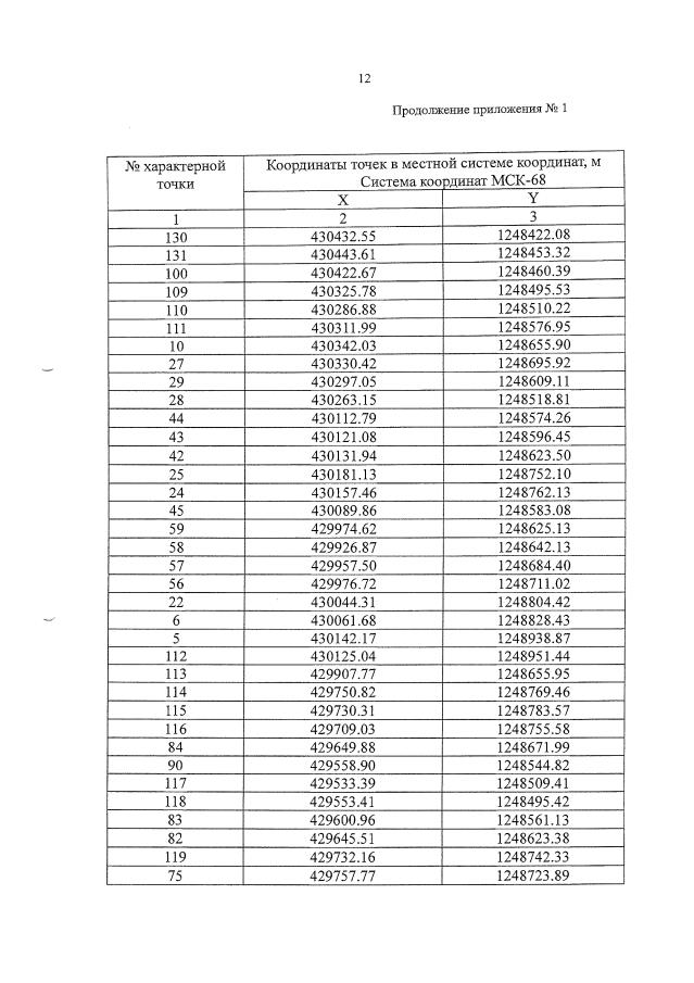
"Об установлении объединенной зоны охраны объектов культурного наследия федерального значения: "Церковь Покрова" (пл.Кронштадтская‚ д.5); "Усадьба семьи Чичериных, кон. ХIХ – нач. ХХ вв." (ул.Советская/ул.Кронштадтская, д.63/9а‚ д.63а/9) и регионального значения, расположенных в кварталах, ограниченных улицами Советская, Кронштадтская, А.Бебеля, Ленинградская, Набережная, Лермонтовская г.Тамбова, и утверждении требований к градостроительным регламентам в границах территорий данной зоны"
Номер опубликования: 6801201909240005
Дата опубликования: 24.09.2019
Страница №15 из 42:
Увеличить