Официальное опубликование правовых актов
ОФИЦИАЛЬНОЕ ОПУБЛИКОВАНИЕ
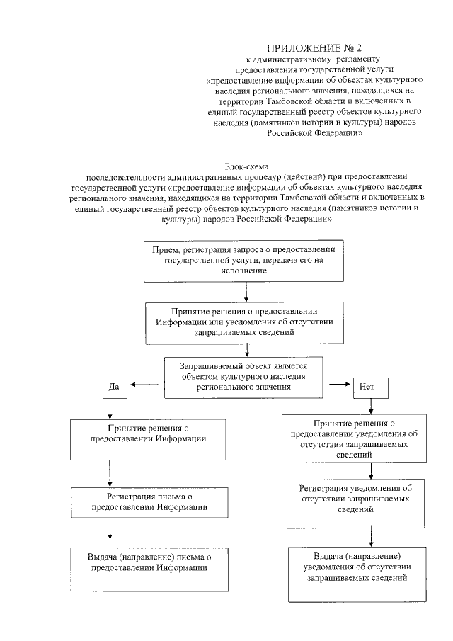
Приказ Управления по государственной охране объектов культурного наследия Тамбовской области от 07.06.2019 № 108
"Об утверждении административного регламента предоставления государственной услуги "предоставление информации об объектах культурного наследия регионального значения, находящихся на территории Тамбовской области и включенных в единый государственный реестр объектов культурного наследия (памятников истории и культуры) народов Российской Федерации"
Номер опубликования: 6801201906130005
Дата опубликования: 13.06.2019
Страница №23 из 23:
Увеличить