Официальное опубликование правовых актов
ОФИЦИАЛЬНОЕ ОПУБЛИКОВАНИЕ
Приказ Управления по государственной охране объектов культурного наследия Тамбовской области от 14.02.2019 № 11
"О включении выявленного объекта культурного наследия – достопримечательное место – "Имение дворян Сатиных "Ивановка", связанное с жизнью и творчеством выдающегося русского композитора, пианиста и дирижера С.В.Рахманинова" в единый государственный реестр объектов культурного наследия (памятников истории и культуры) народов Российской Федерации в качестве объекта культурного наследия регионального значения"
Номер опубликования: 6801201902150001
Дата опубликования: 15.02.2019
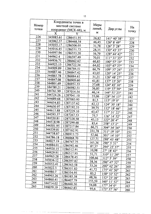
Страница №17 из 48:
Увеличить