Официальное опубликование правовых актов
ОФИЦИАЛЬНОЕ ОПУБЛИКОВАНИЕ
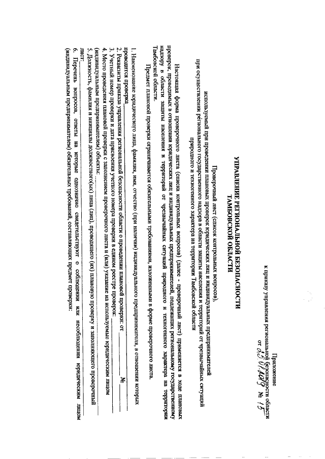
Приказ Управления региональной безопасности Тамбовской области от 25.01.2019 № 15
"Об утверждении формы проверочного листа (списка контрольных вопросов), используемого при проведении плановых проверок юридических лиц и индивидуальных предпринимателей при осуществлении регионального государственного надзора в области защиты населения и территорий от чрезвычайных ситуаций природного и техногенного характера на территории Тамбовской области"
Номер опубликования: 6801201901280002
Дата опубликования: 28.01.2019
Страница №3 из 19:
Увеличить