Приказ Управления по регулированию тарифов Тамбовской области от 18.12.2018 № 182-т
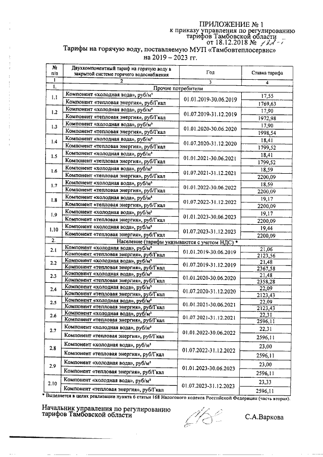
"Об установлении тарифов на горячую воду, поставляемую муниципальным унитарным предприятием "Тамбовтеплосервис", на 2019 - 2023 гг."
"Об установлении тарифов на горячую воду, поставляемую муниципальным унитарным предприятием "Тамбовтеплосервис", на 2019 - 2023 гг."
Номер опубликования: 6801201812210034
Дата опубликования:
21.12.2018
