Официальное опубликование правовых актов
ОФИЦИАЛЬНОЕ ОПУБЛИКОВАНИЕ
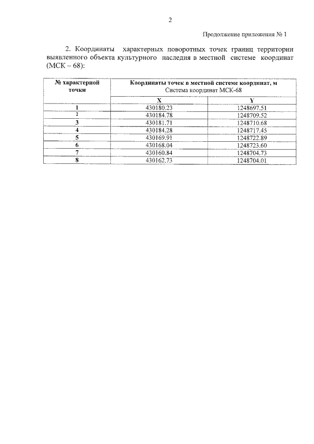
Приказ Управления по государственной охране объектов культурного наследия Тамбовской области от 28.11.2018 № 288
"О внесении изменений в приказ управления по государственной охране объектов культурного наследия области от 25.05.2017 № 88 "Об утверждении границ и режима использования территории выявленного объекта культурного наследия "Дом жилой" (Тамбовская область, г. Тамбов, ул. Кронштадтская, 3)"
Номер опубликования: 6801201811290002
Дата опубликования: 29.11.2018
Страница №3 из 4:
Увеличить