Официальное опубликование правовых актов
ОФИЦИАЛЬНОЕ ОПУБЛИКОВАНИЕ
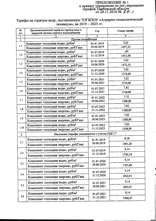
Приказ Управления по регулированию тарифов Тамбовской области от 20.11.2018 № 84-т
"Об установлении тарифов на горячую воду, поставляемую Тамбовским областным государственным бюджетным профессиональным образовательным учреждением "Аграрно-технологический техникум", на 2019 - 2023 гг."
Номер опубликования: 6801201811230006
Дата опубликования: 23.11.2018
Страница №2 из 4:
Увеличить