Официальное опубликование правовых актов
ОФИЦИАЛЬНОЕ ОПУБЛИКОВАНИЕ
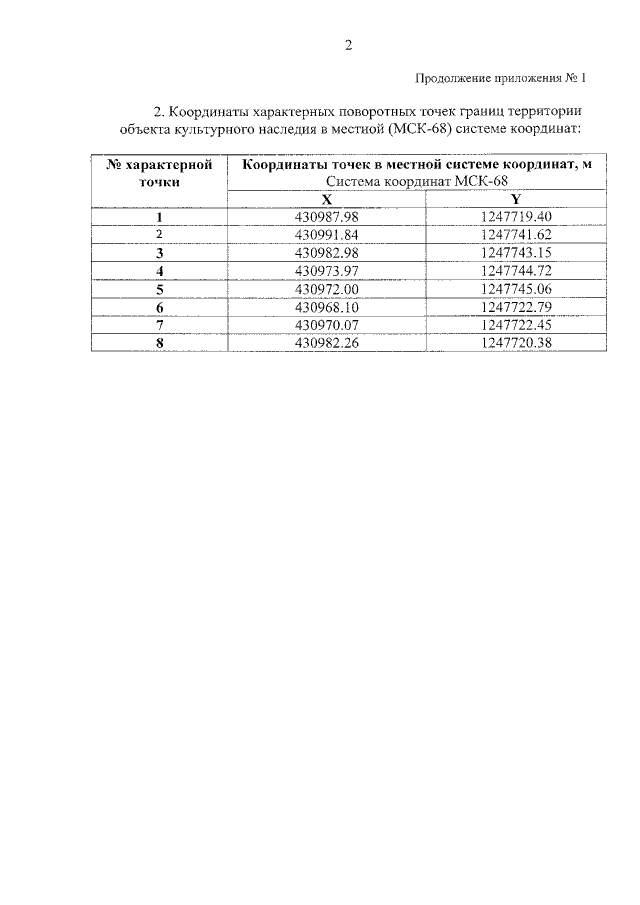
Приказ Управления по государственной охране объектов культурного наследия Тамбовской области от 15.10.2018 № 252
"Об утверждении границ и режима использования территории объекта культурного наследия регионального значения "Лавка купца" (Тамбовская область, г. Тамбов, ул. Коммунальная/ ул. Носовская, 21/7)"
Номер опубликования: 6801201810170002
Дата опубликования: 17.10.2018
Страница №3 из 5:
Увеличить