Официальное опубликование правовых актов
ОФИЦИАЛЬНОЕ ОПУБЛИКОВАНИЕ
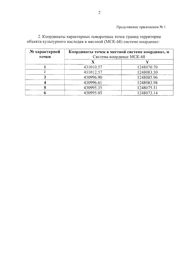
Приказ Управления по государственной охране объектов культурного наследия Тамбовской области от 02.10.2018 № 237
"Об утверждении границ и режима использования территории объекта культурного наследия регионального значения "Дом, в котором в 1951-1952гг. жил композитор, военный дирижер, автор вальса "На сопках Маньчжурии" Шатров Илий Алексеевич" (Тамбовская область, г. Тамбов, ул. Коммунальная, 8)"
Номер опубликования: 6801201810040003
Дата опубликования: 04.10.2018
Страница №3 из 4:
Увеличить