Официальное опубликование правовых актов
ОФИЦИАЛЬНОЕ ОПУБЛИКОВАНИЕ
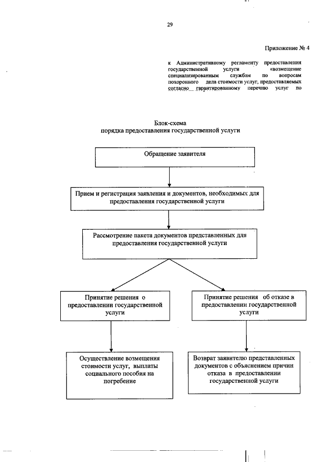
Приказ Управления социальной защиты и семейной политики Тамбовской области от 07.07.2017 № 1058-ф
"Об утверждении административного регламента предоставления государственной услуги "возмещение специализированным службам по вопросам похоронного дела стоимости услуг, предоставляемых согласно гарантированному перечню услуг по погребению, назначение и выплата социального пособия на погребение"
Номер опубликования: 6801201707100001
Дата опубликования: 10.07.2017
Страница №29 из 29:
Увеличить