Официальное опубликование правовых актов
ОФИЦИАЛЬНОЕ ОПУБЛИКОВАНИЕ
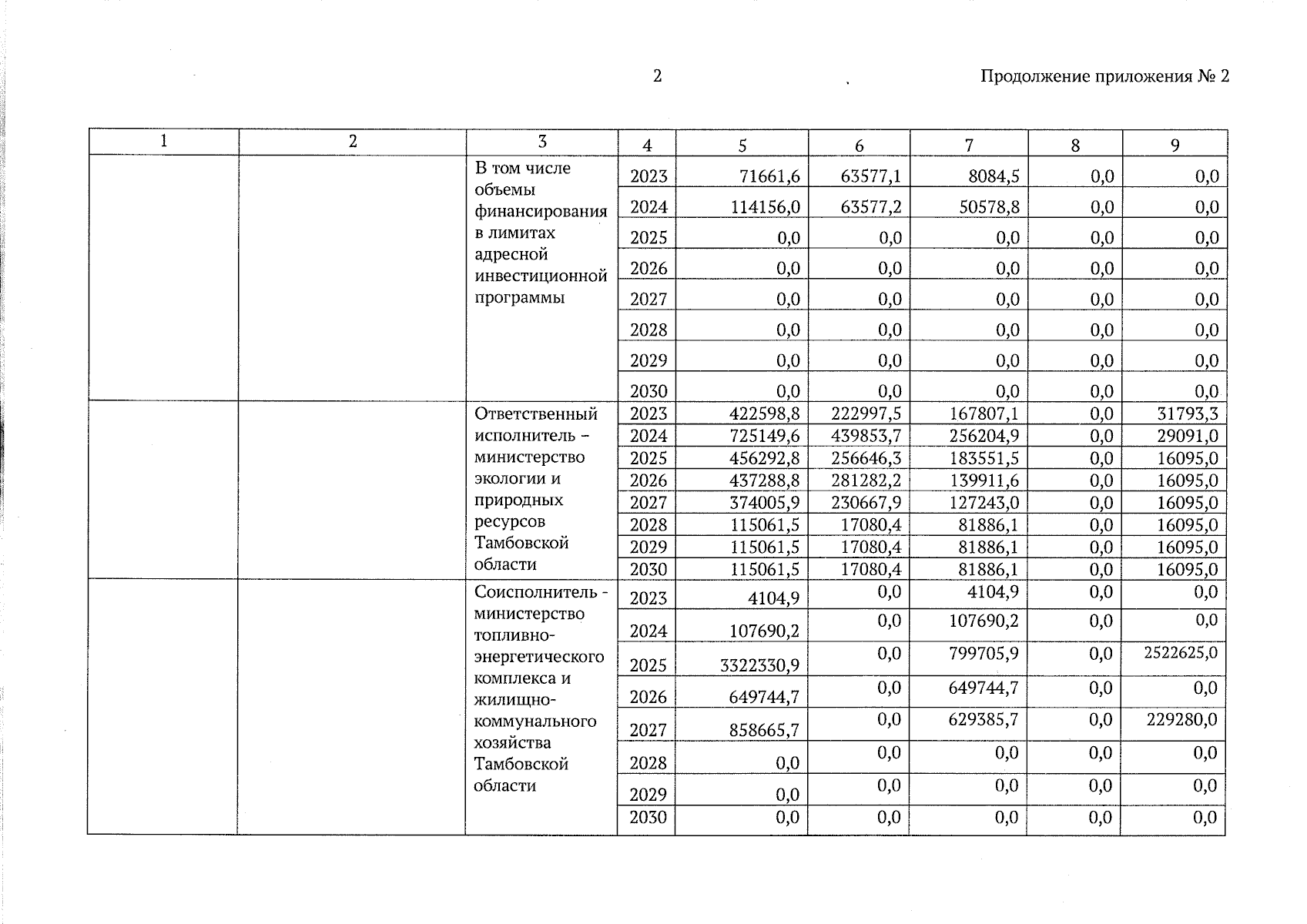
Постановление Правительства Тамбовской области от 09.12.2025 № 673
"О внесении изменений в государственную программу "Охрана окружающей среды, воспроизводство и использование природных ресурсов Тамбовской области"
Номер опубликования: 6800202512120002
Дата опубликования: 12.12.2025
Страница №55 из 68:
Увеличить