Официальное опубликование правовых актов
ОФИЦИАЛЬНОЕ ОПУБЛИКОВАНИЕ
Постановление Правительства Тамбовской области от 24.11.2025 № 626
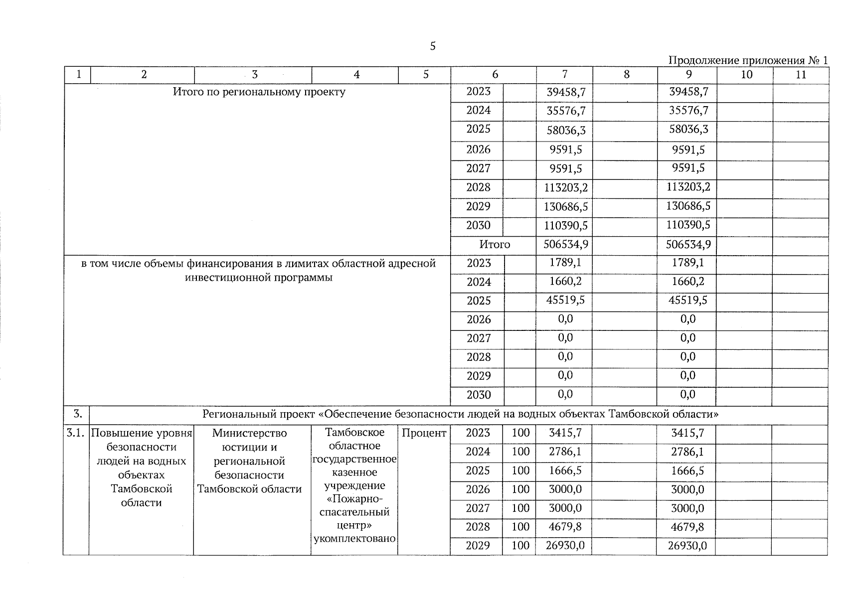
"О внесении изменений в государственную программу Тамбовской области "Защита населения и территорий от чрезвычайных ситуаций, обеспечение пожарной безопасности и безопасности людей на водных объектах в Тамбовской области"
Номер опубликования: 6800202511260004
Дата опубликования: 26.11.2025
Страница №7 из 20:
Увеличить