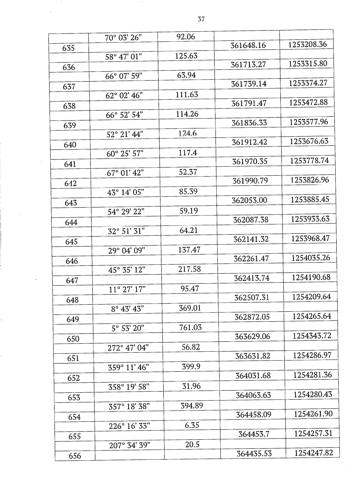
Закон Тамбовской области от 29.04.2025 № 669-З
"О внесении изменения в Закон Тамбовской области "Об установлении границ Сампурского муниципального округа Тамбовской области и определении места нахождения его представительном органа и о признании утратившими силу отдельных положений некоторых законодательных актов Тамбовской области"
"О внесении изменения в Закон Тамбовской области "Об установлении границ Сампурского муниципального округа Тамбовской области и определении места нахождения его представительном органа и о признании утратившими силу отдельных положений некоторых законодательных актов Тамбовской области"
Номер опубликования: 6800202504300003
Дата опубликования:
30.04.2025
