Официальное опубликование правовых актов
ОФИЦИАЛЬНОЕ ОПУБЛИКОВАНИЕ
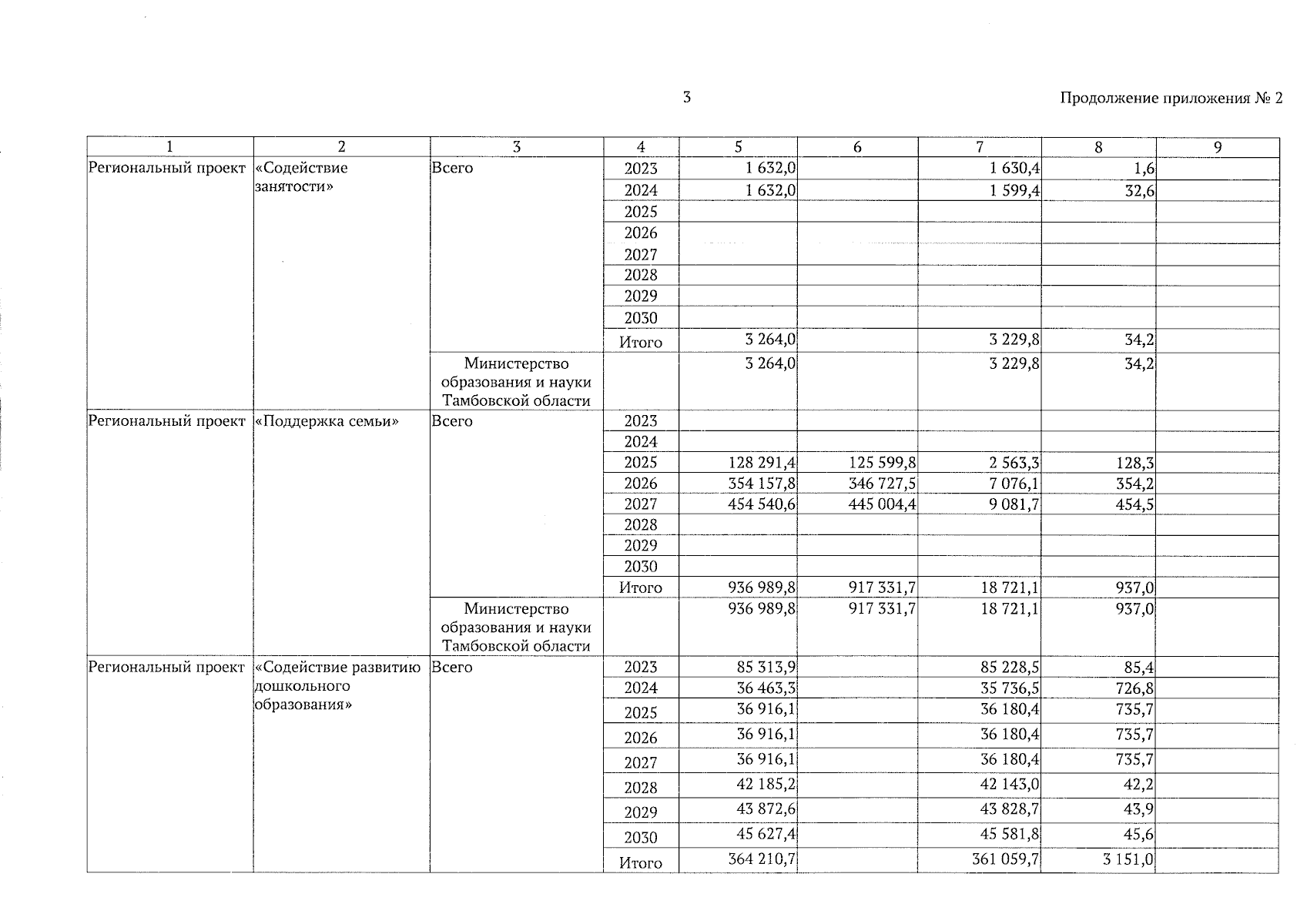
Постановление Правительства Тамбовской области от 28.03.2025 № 222
"О внесении изменений в государственную программу Тамбовской области "Развитие образования Тамбовской области"
Номер опубликования: 6800202504010003
Дата опубликования: 01.04.2025
Страница №43 из 132:
Увеличить