Официальное опубликование правовых актов
ОФИЦИАЛЬНОЕ ОПУБЛИКОВАНИЕ
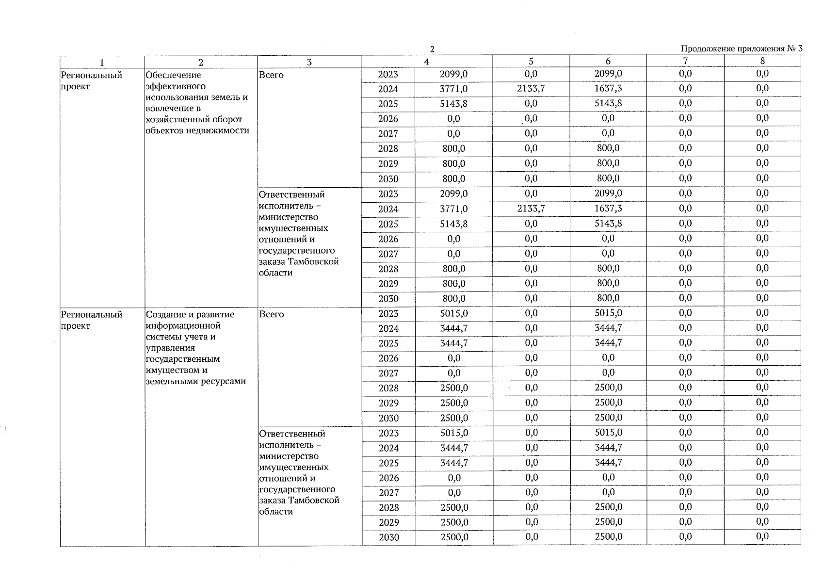
Постановление Правительства Тамбовской области от 28.02.2025 № 137
"О внесении изменений в государственную программу Тамбовской области "Эффективное управление государственной собственностью Тамбовской области"
Номер опубликования: 6800202503040002
Дата опубликования: 04.03.2025
Страница №11 из 12:
Увеличить