Официальное опубликование правовых актов
ОФИЦИАЛЬНОЕ ОПУБЛИКОВАНИЕ
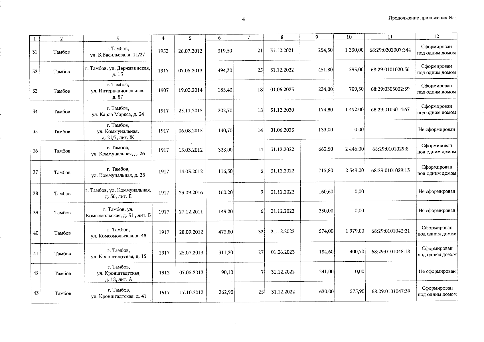
Постановление Правительства Тамбовской области от 30.01.2025 № 48
"О внесении изменений в областную адресную программу по переселению граждан из аварийного жилищного фонда, расположенного на территории Тамбовской области, на 2019-2025 годы"
Номер опубликования: 6800202501310004
Дата опубликования: 31.01.2025
Страница №6 из 13:
Увеличить