Официальное опубликование правовых актов
ОФИЦИАЛЬНОЕ ОПУБЛИКОВАНИЕ
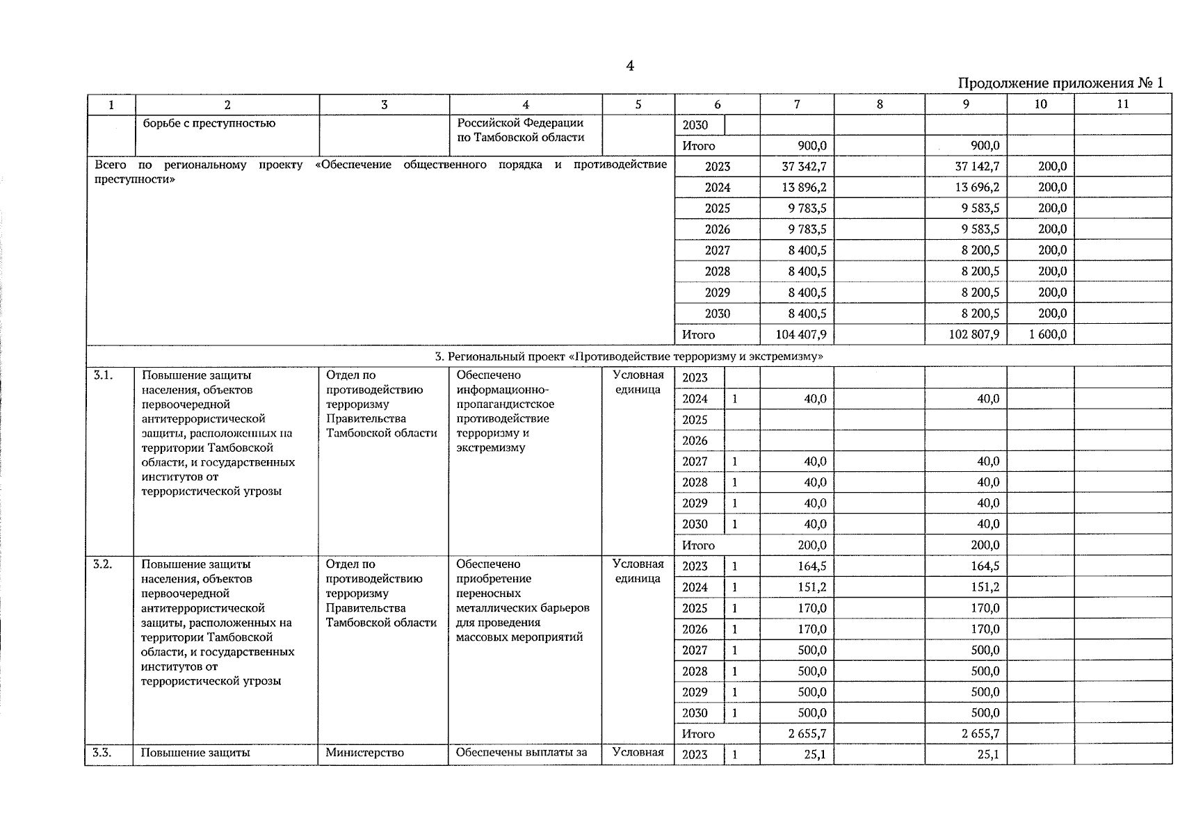
Постановление Правительства Тамбовской области от 21.01.2025 № 15
"О внесении изменений в государственную программу Тамбовской области "Обеспечение безопасности населения Тамбовской области и противодействие преступности"
Номер опубликования: 6800202501230003
Дата опубликования: 23.01.2025
Страница №5 из 18:
Увеличить