Официальное опубликование правовых актов
ОФИЦИАЛЬНОЕ ОПУБЛИКОВАНИЕ
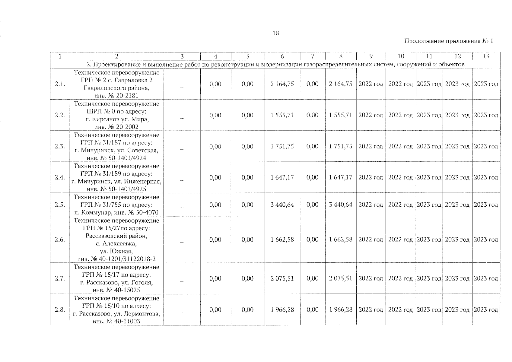
Постановление Правительства Тамбовской области от 23.12.2024 № 752
"О внесении изменений в Программу газификации жилищно-коммунального хозяйства, промышленных и иных организаций Тамбовской области на 2022-2031 годы"
Номер опубликования: 6800202412260009
Дата опубликования: 26.12.2024
Страница №19 из 57:
Увеличить