Официальное опубликование правовых актов
ОФИЦИАЛЬНОЕ ОПУБЛИКОВАНИЕ
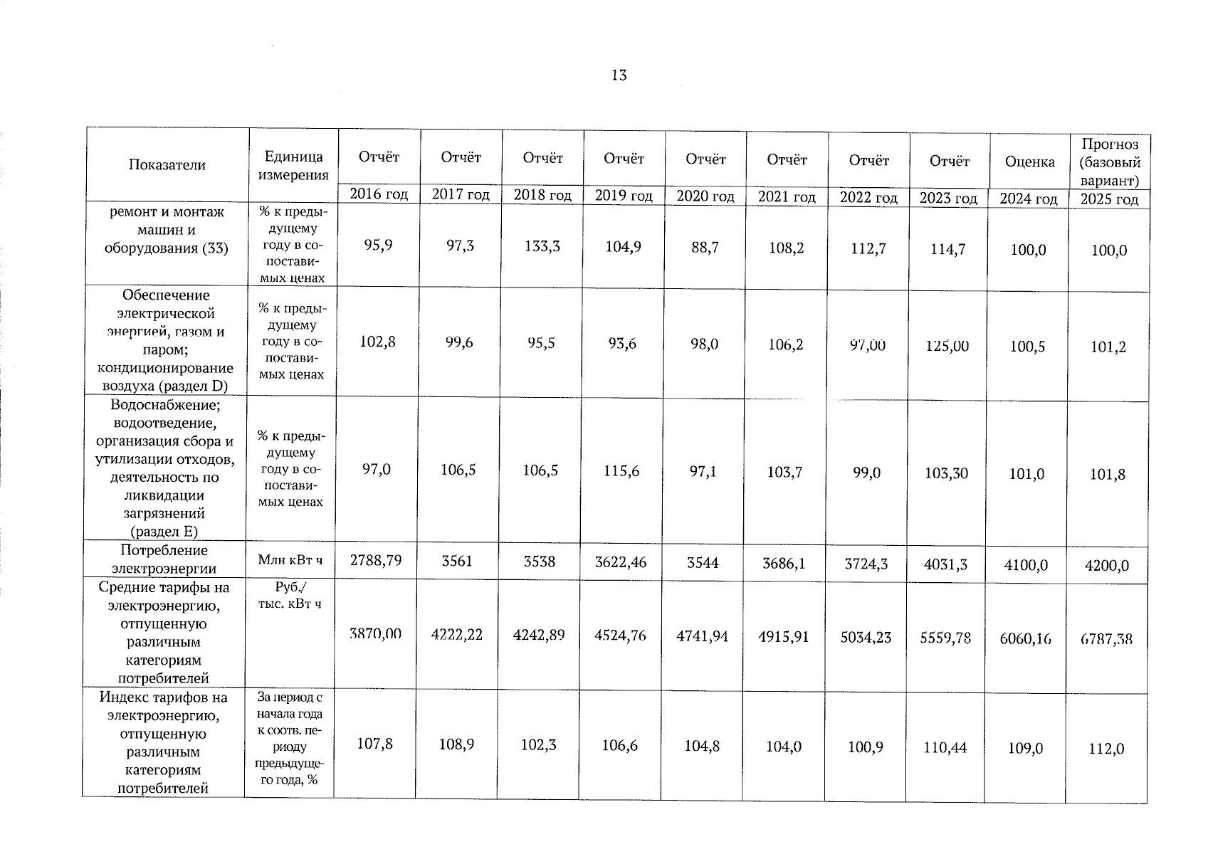
Постановление Правительства Тамбовской области от 19.12.2024 № 748
"О внесении изменений в прогноз социально-экономического развития Тамбовской области на долгосрочный период до 2035 года"
Номер опубликования: 6800202412230015
Дата опубликования: 23.12.2024
Страница №14 из 39:
Увеличить