Официальное опубликование правовых актов
ОФИЦИАЛЬНОЕ ОПУБЛИКОВАНИЕ
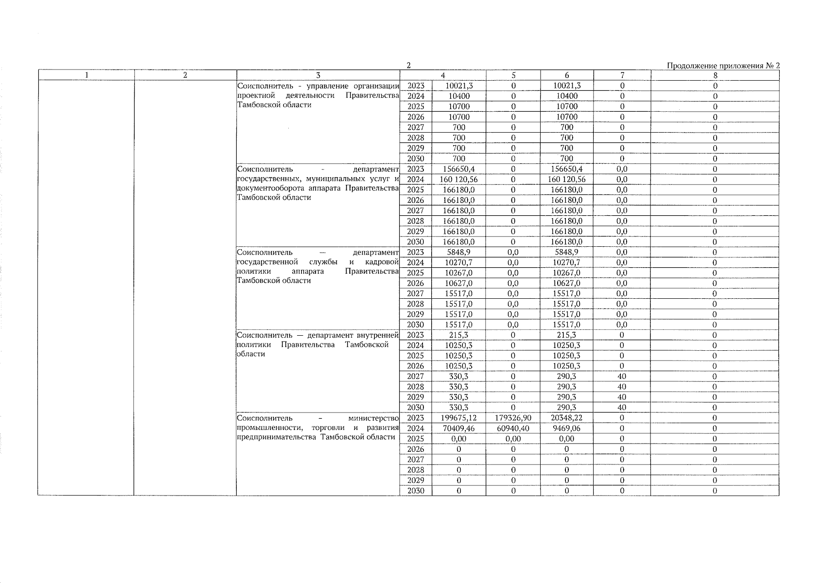
Постановление Правительства Тамбовской области от 28.11.2024 № 689
"О внесении изменений в государственную программу Тамбовской области "Экономическое развитие и инновационная экономика"
Номер опубликования: 6800202411290012
Дата опубликования: 29.11.2024
Страница №26 из 37:
Увеличить