Официальное опубликование правовых актов
ОФИЦИАЛЬНОЕ ОПУБЛИКОВАНИЕ
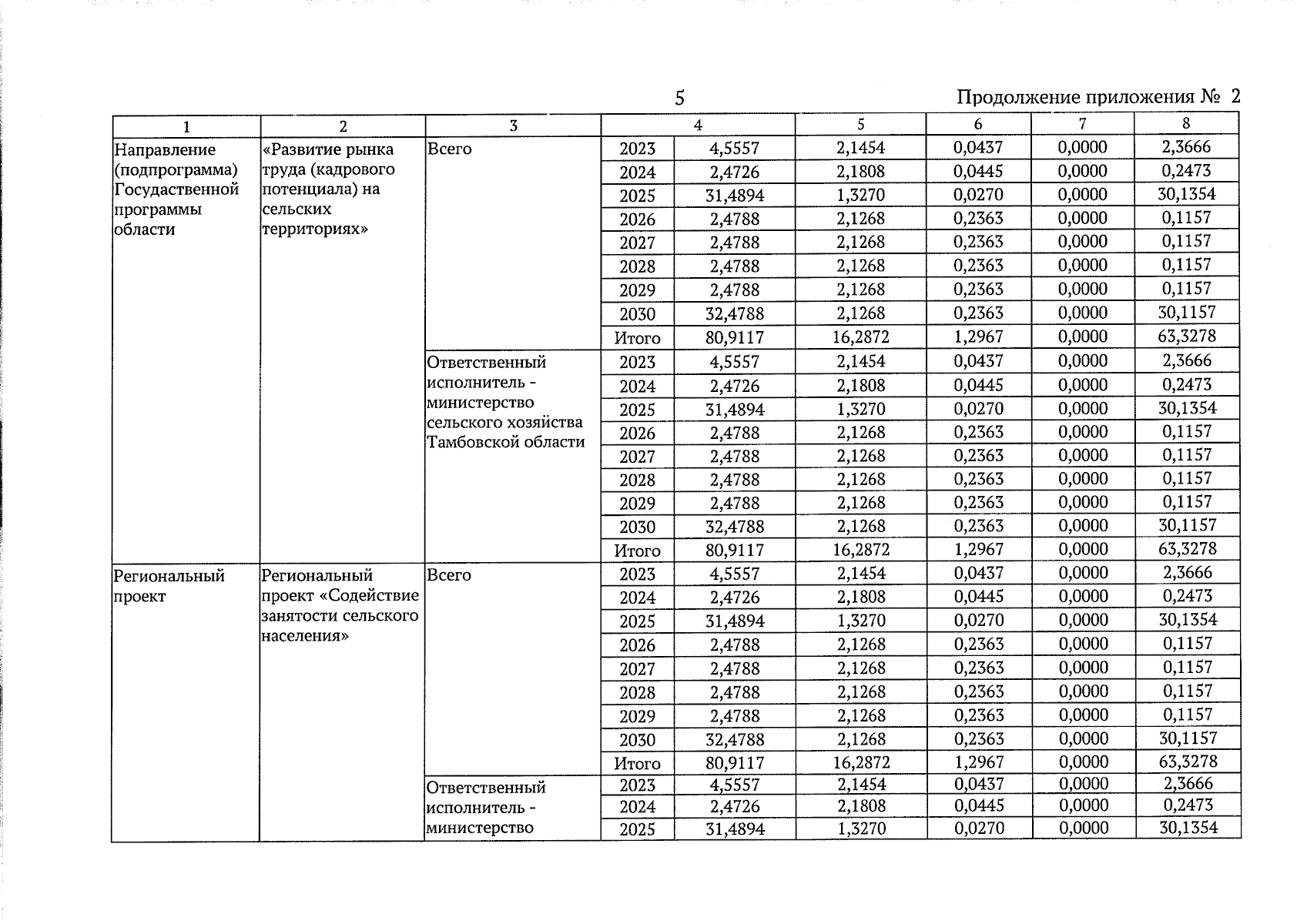
Постановление Правительства Тамбовской области от 07.10.2024 № 592
"О внесении изменений в Государственную программу Тамбовской области комплексного развития сельских территорий"
Номер опубликования: 6800202410100007
Дата опубликования: 10.10.2024
Страница №13 из 30:
Увеличить