Официальное опубликование правовых актов
ОФИЦИАЛЬНОЕ ОПУБЛИКОВАНИЕ
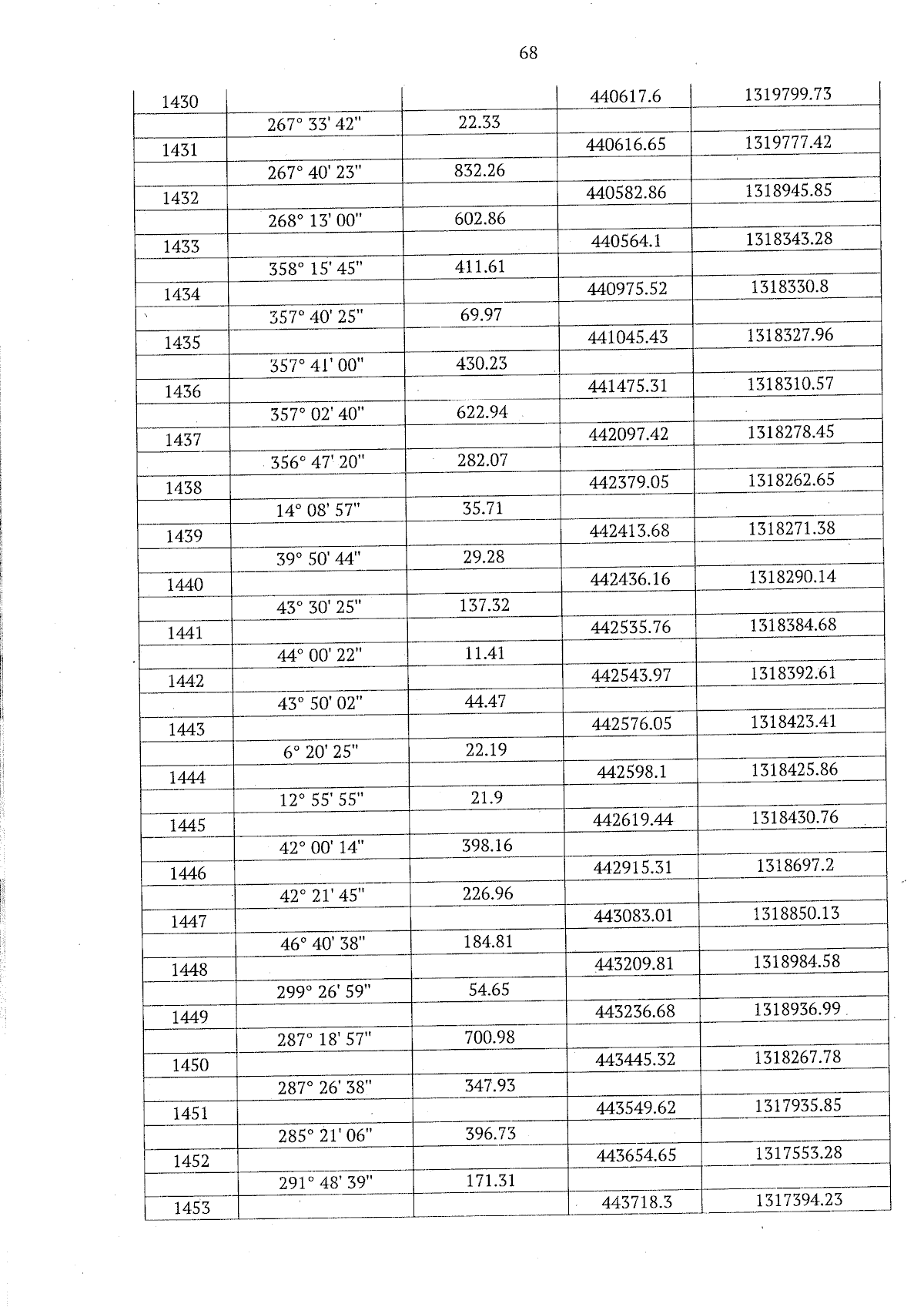
Закон Тамбовской области от 01.08.2024 № 531-З
"О внесении изменения в Закон Тамбовской области "Об установлении границ Гавриловского муниципального округа Тамбовской области и определении места нахождения его представительного органа и о признании утратившими силу отдельных положений некоторых законодательных актов Тамбовской области"
Номер опубликования: 6800202408050003
Дата опубликования: 05.08.2024
Страница №68 из 86:
Увеличить