Официальное опубликование правовых актов
ОФИЦИАЛЬНОЕ ОПУБЛИКОВАНИЕ
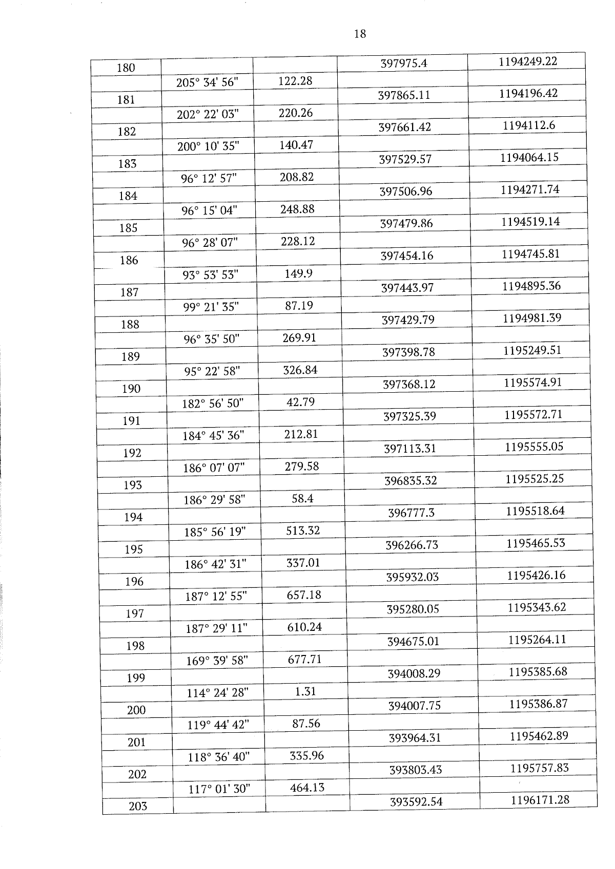
Закон Тамбовской области от 01.08.2024 № 533-З
"О внесении изменения в Закон Тамбовской области "Об установлении границ Мордовского муниципального округа Тамбовской области и определении места нахождения его представительного органа"
Номер опубликования: 6800202408050001
Дата опубликования: 05.08.2024
Страница №18 из 147:
Увеличить