Официальное опубликование правовых актов
ОФИЦИАЛЬНОЕ ОПУБЛИКОВАНИЕ
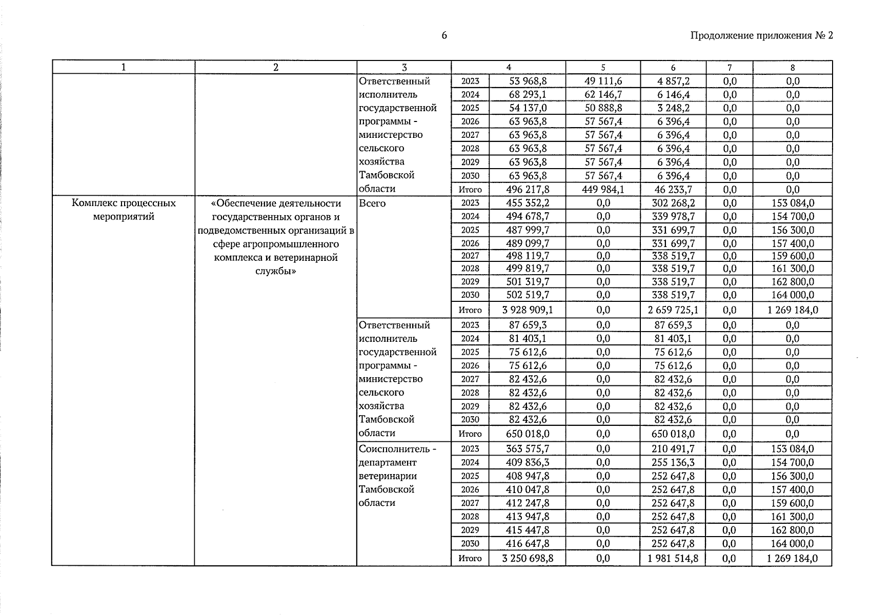
Постановление Правительства Тамбовской области от 19.07.2024 № 464
"О внесении изменений в Государственную программу развития сельского хозяйства и регулирования рынков сельскохозяйственной продукции, сырья и продовольствия Тамбовской области"
Номер опубликования: 6800202407220001
Дата опубликования: 22.07.2024
Страница №28 из 29:
Увеличить