Официальное опубликование правовых актов
ОФИЦИАЛЬНОЕ ОПУБЛИКОВАНИЕ
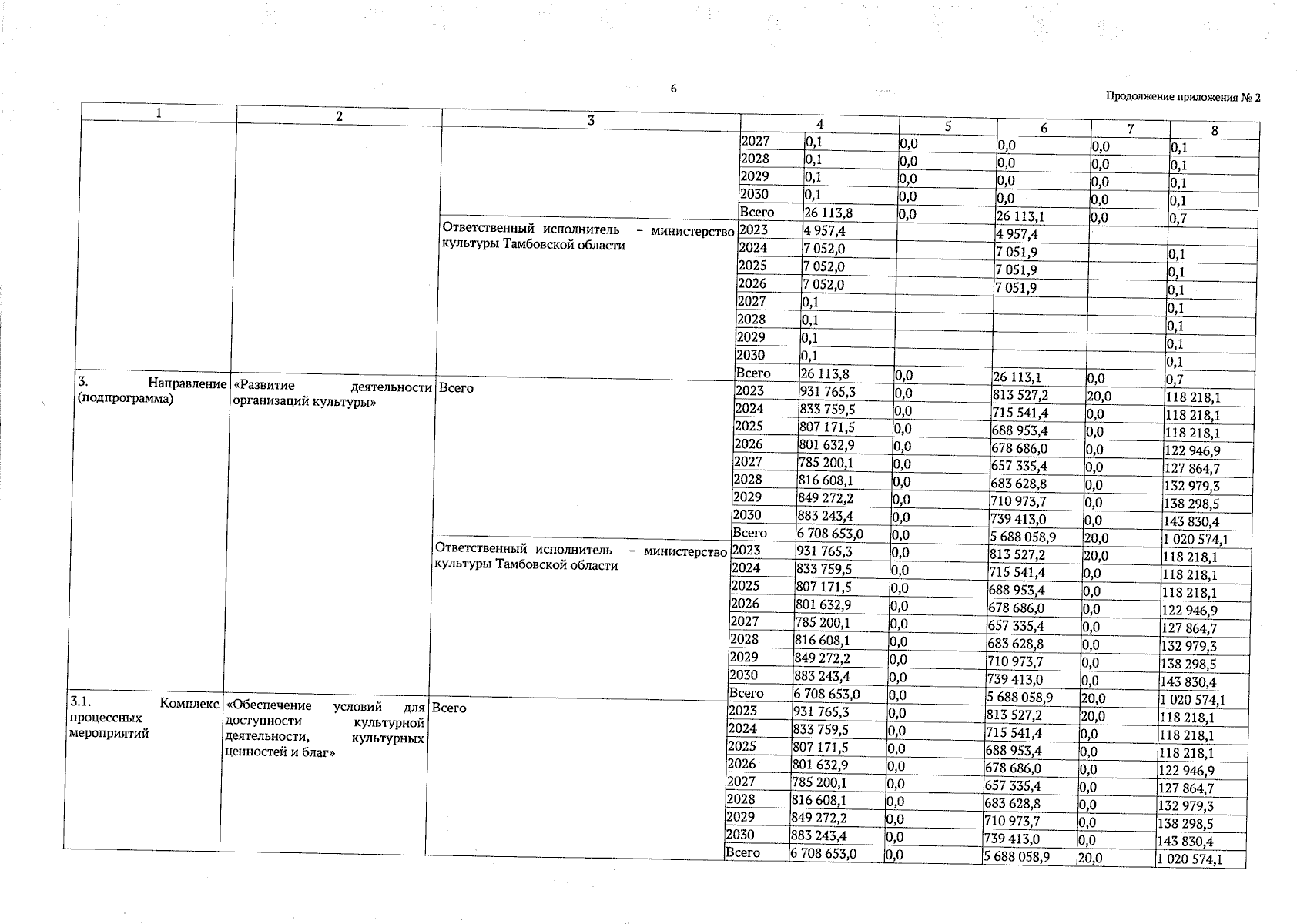
Постановление Правительства Тамбовской области от 02.02.2024 № 56
"О внесении изменений в государственную программу Тамбовской области "Развитие культуры"
Номер опубликования: 6800202402060002
Дата опубликования: 06.02.2024
Страница №21 из 23:
Увеличить