Официальное опубликование правовых актов
ОФИЦИАЛЬНОЕ ОПУБЛИКОВАНИЕ
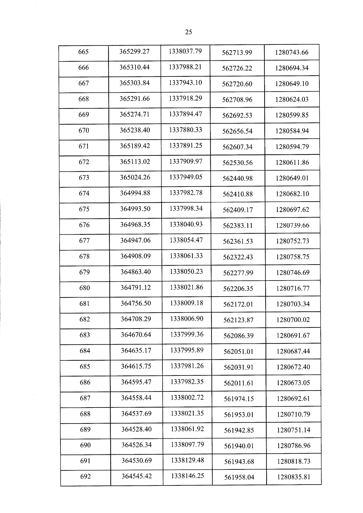
Закон Тамбовской области от 02.02.2024 № 476-З
"Об утверждении заключения соглашения об установлении координатного описания границы между субъектами Российской Федерации - Тамбовской и Саратовской областями"
Номер опубликования: 6800202402050006
Дата опубликования: 05.02.2024
Страница №28 из 68:
Увеличить