Официальное опубликование правовых актов
ОФИЦИАЛЬНОЕ ОПУБЛИКОВАНИЕ
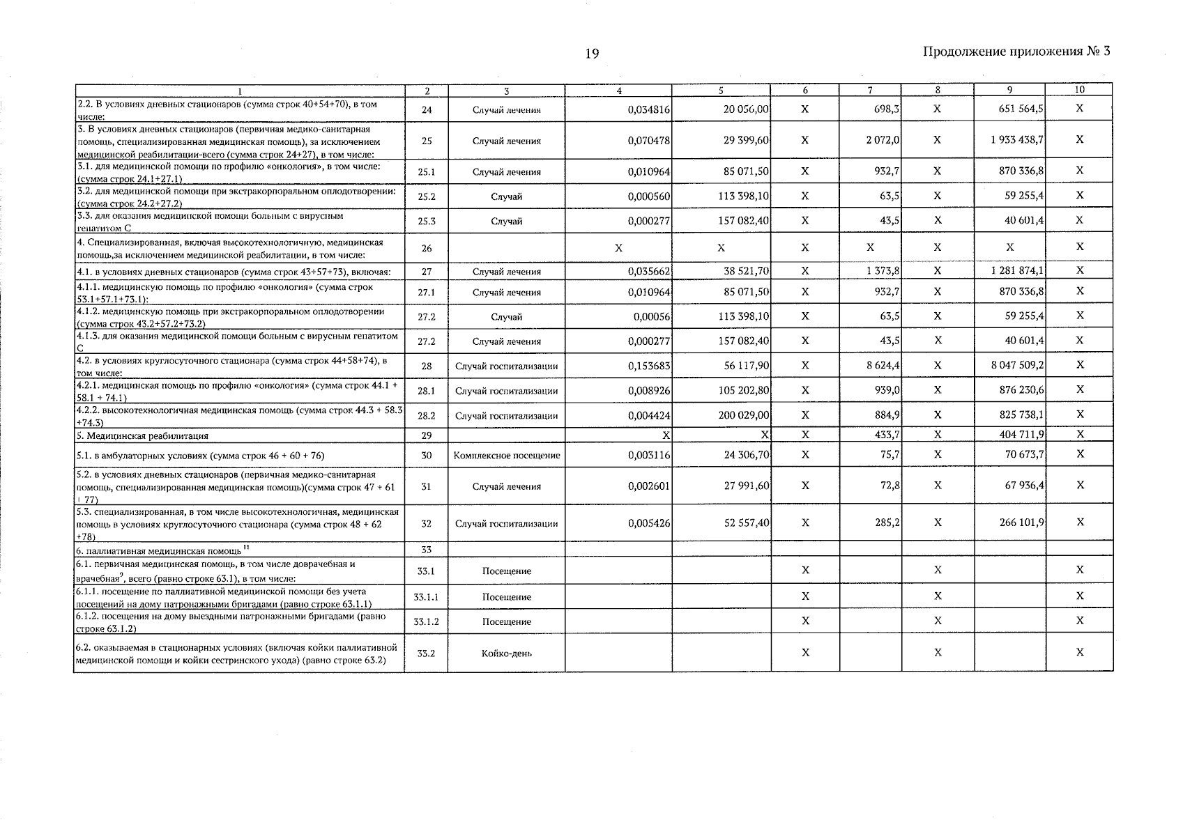
Постановление Правительства Тамбовской области от 29.01.2024 № 38
"О Программе государственных гарантий бесплатного оказания населению Тамбовской области медицинской помощи на 2024 год и на плановый период 2025 и 2026 годов"
Номер опубликования: 6800202402020001
Дата опубликования: 02.02.2024
Страница №98 из 144:
Увеличить