Официальное опубликование правовых актов
ОФИЦИАЛЬНОЕ ОПУБЛИКОВАНИЕ
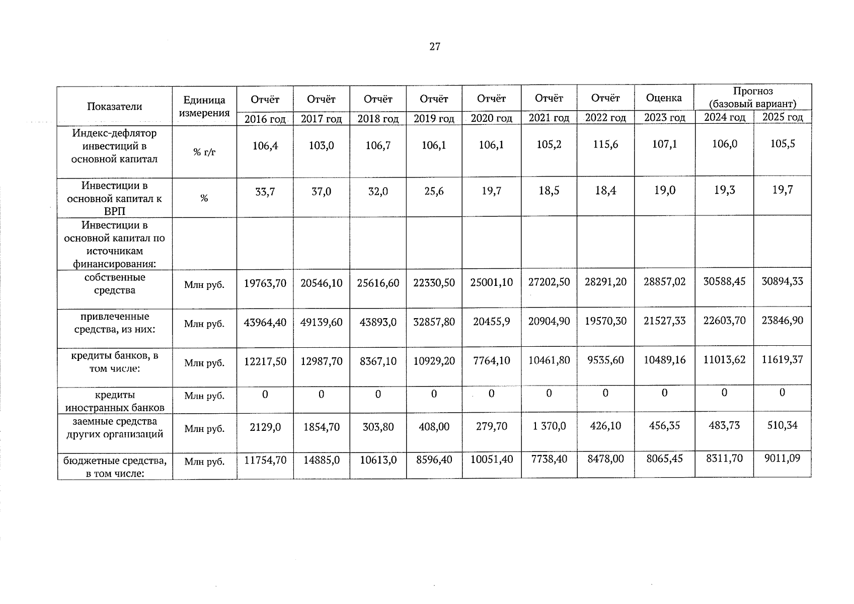
Постановление Правительства Тамбовской области от 26.01.2024 № 35
"О внесении изменений в прогноз социально-экономического развития Тамбовской области на долгосрочный период до 2035 года"
Номер опубликования: 6800202401290002
Дата опубликования: 29.01.2024
Страница №28 из 47:
Увеличить