Официальное опубликование правовых актов
ОФИЦИАЛЬНОЕ ОПУБЛИКОВАНИЕ
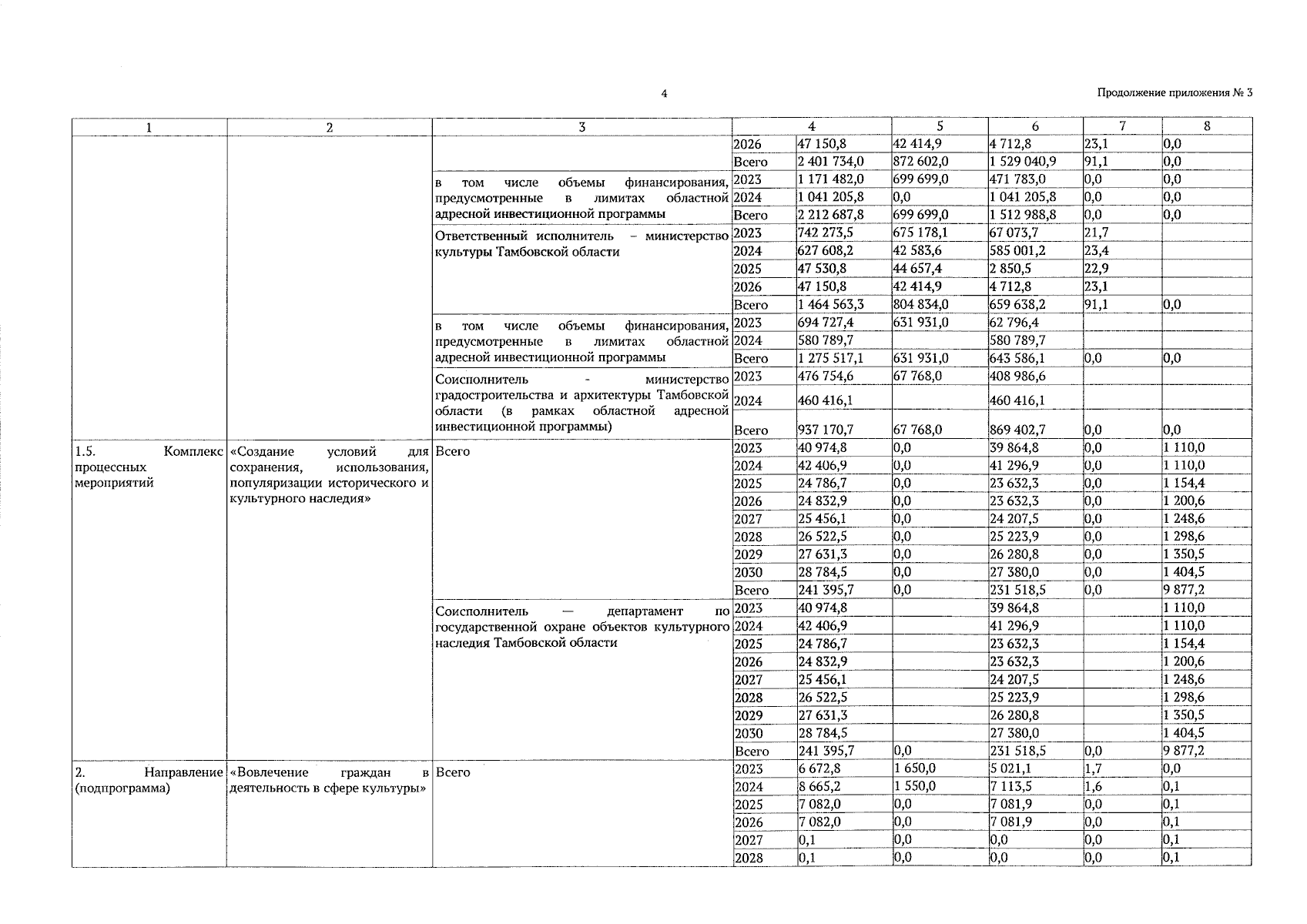
Постановление Правительства Тамбовской области от 26.12.2023 № 1024
"О внесении изменений в государственную программу Тамбовской области "Развитие культуры"
Номер опубликования: 6800202312290001
Дата опубликования: 29.12.2023
Страница №34 из 38:
Увеличить