Официальное опубликование правовых актов
ОФИЦИАЛЬНОЕ ОПУБЛИКОВАНИЕ
Постановление Правительства Тамбовской области от 22.12.2023 № 1018
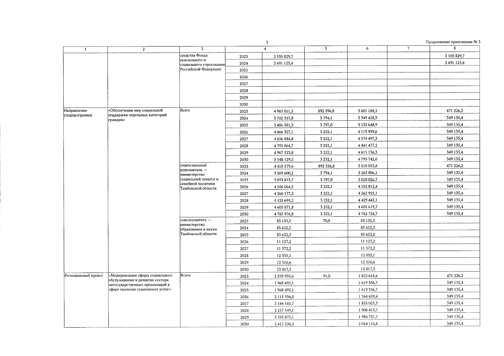
"О внесении изменений в государственную программу Тамбовской области "Социальная поддержка граждан"
Номер опубликования: 6800202312250004
Дата опубликования: 25.12.2023
Страница №40 из 50:
Увеличить