Официальное опубликование правовых актов
ОФИЦИАЛЬНОЕ ОПУБЛИКОВАНИЕ
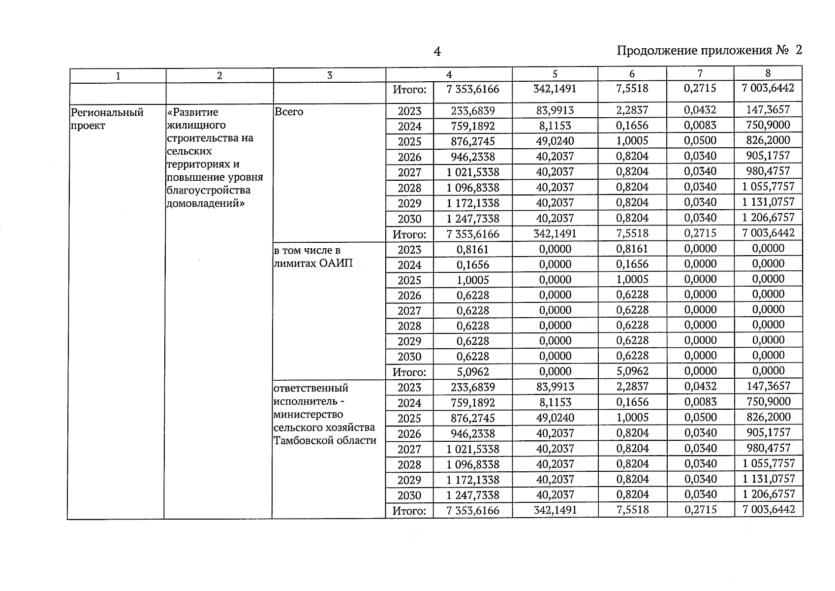
Постановление Правительства Тамбовской области от 15.12.2023 № 977
"О внесении изменений в Государственную программу Тамбовской области комплексного развития сельских территорий"
Номер опубликования: 6800202312190004
Дата опубликования: 19.12.2023
Страница №13 из 27:
Увеличить