Официальное опубликование правовых актов
ОФИЦИАЛЬНОЕ ОПУБЛИКОВАНИЕ
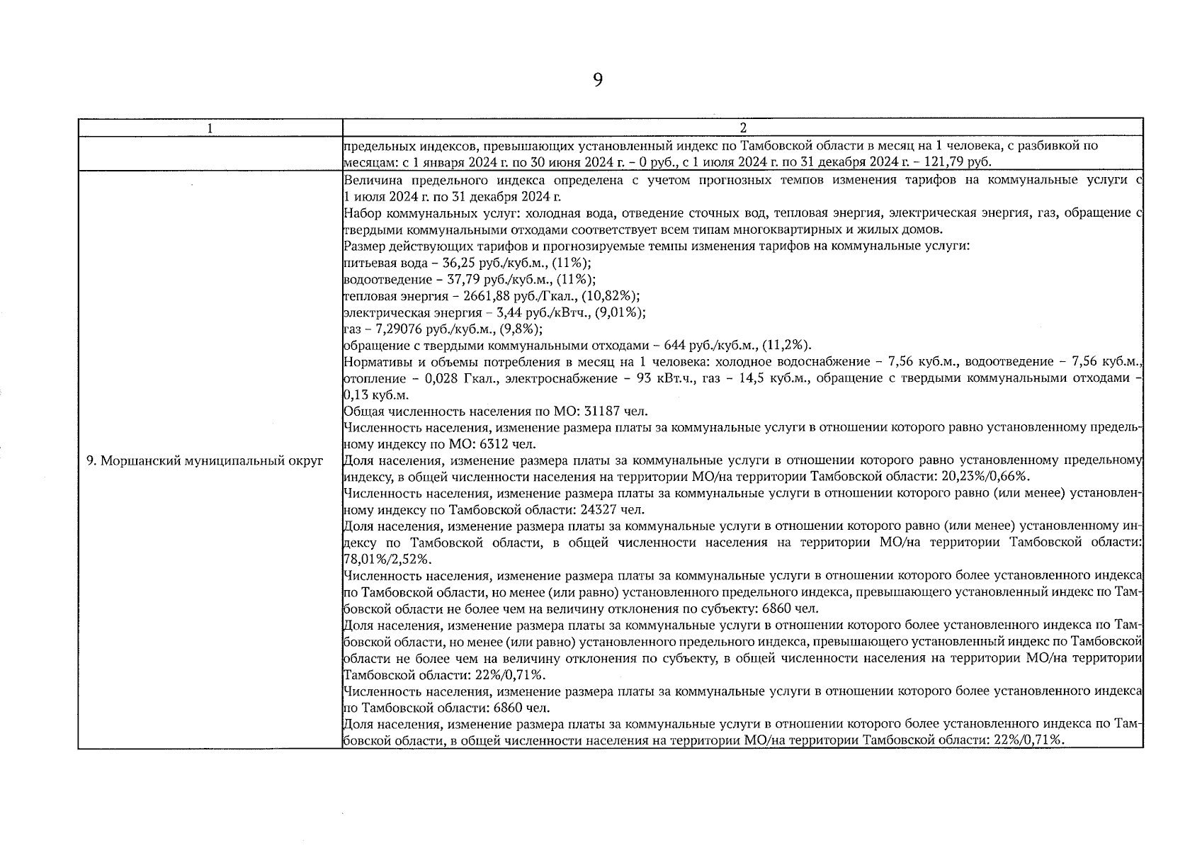
Постановление Главы Тамбовской области от 14.12.2023 № 196
"Об утверждении предельных (максимальных) индексов изменения размера вносимой гражданами платы за коммунальные услуги в муниципальных образованиях Тамбовской области на 2024-2028 гг."
Номер опубликования: 6800202312150004
Дата опубликования: 15.12.2023
Страница №13 из 33:
Увеличить