Официальное опубликование правовых актов
ОФИЦИАЛЬНОЕ ОПУБЛИКОВАНИЕ
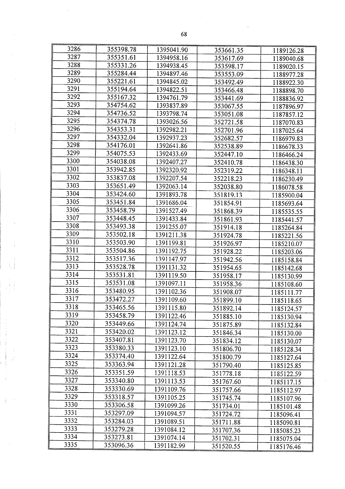
Закон Тамбовской области от 31.10.2023 № 424-З
"Об утверждении заключения соглашения об установлении координатного, графического и текстового описания границы между субъектами Российской Федерации - Липецкой и Тамбовской областями"
Номер опубликования: 6800202311030001
Дата опубликования: 03.11.2023
Страница №70 из 124:
Увеличить