Официальное опубликование правовых актов
ОФИЦИАЛЬНОЕ ОПУБЛИКОВАНИЕ
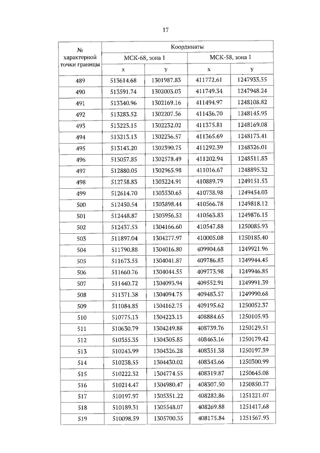
Закон Тамбовской области от 31.07.2023 № 374-З
"Об утверждении заключения соглашений об установлении описания границы между субъектами Российской Федерации - Тамбовской и Пензенской областями"
Номер опубликования: 6800202308070001
Дата опубликования: 07.08.2023
Страница №20 из 154:
Увеличить