Официальное опубликование правовых актов
ОФИЦИАЛЬНОЕ ОПУБЛИКОВАНИЕ
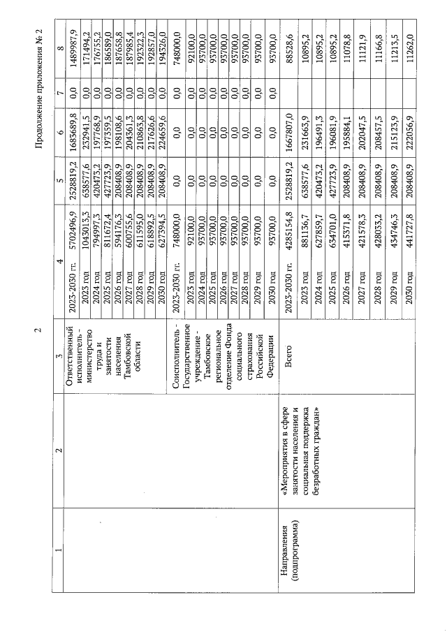
Постановление Правительства Тамбовской области от 16.05.2023 № 382
"О внесении изменений в Государственную программу Тамбовской области "Содействие занятости населения"
Номер опубликования: 6800202305180002
Дата опубликования: 18.05.2023
Страница №24 из 28:
Увеличить