Официальное опубликование правовых актов
ОФИЦИАЛЬНОЕ ОПУБЛИКОВАНИЕ
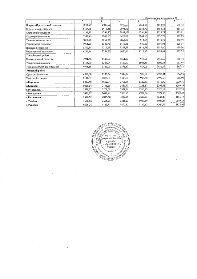
Постановление Правительства Тамбовской области от 29.12.2022 № 311
"Об областных стандартах для расчета субсидий на оплату жилого помещения и коммунальных услуг на декабрь 2022 года - 2023 год"
Номер опубликования: 6800202212290011
Дата опубликования: 29.12.2022
Страница №5 из 16:
Увеличить