Официальное опубликование правовых актов
ОФИЦИАЛЬНОЕ ОПУБЛИКОВАНИЕ
Постановление Правительства Тамбовской области от 13.12.2022 № 177
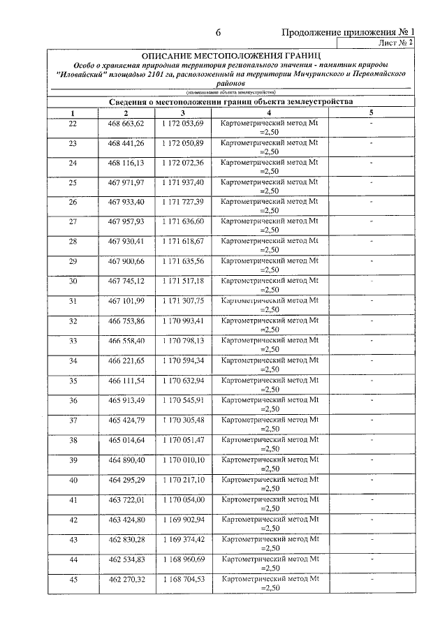
"О внесении изменений в постановление администрации области от 27.10.2016 № 1244 "Об образовании особо охраняемых природных территорий регионального значения - памятники природы "Иловайский" и "Иловай-Воронежский болотно-боровой комплекс"
Номер опубликования: 6800202212150009
Дата опубликования: 15.12.2022
Страница №8 из 29:
Увеличить